Verwaltungsvorschrift des Ministeriums für Wirtschaft, Mittelstand und Technologie zum Vollzug der Preisangabenverordnung
vom 11. März 1993
(ABl./93, [Nr. 30], S.566)
Das Ministerium für Wirtschaft, Mittelstand und Technologie erläßt folgende Verwaltungsvorschrift zum Vollzug der Preisangabenverordnung (PAngV) vom 14. März 1985 (BGBl. I S. 580).
Vorbemerkungen
Die PAngV dient dem Ziel, die Position des Verbrauchers durch die Gewährleistung eines optimalen Preisvergleichs zu stärken.
Gute Preisvergleichsmöglichkeiten sind eine entscheidende Voraussetzung für das Funktionieren der marktwirtschaftlichen Ordnung.
Zur ländereinheitlichen Umsetzung der Bestimmungen der PAngV werden für das Land Brandenburg nachfolgende Festlegungen getroffen.
Zu § 1 Abs. 1
Für Fertigpackungen, offene Packungen und Waren, die in durch Rechtsvorschriften festgelegten Mengen vermarktet werden (z.B. Brot), gelten Spezialvorschriften (vgl. § 1 Abs. 5).
Bei losen Waren, für die diese Spezialvorschriften nicht eingreifen, entnimmt die PAngV die Mindestanforderungen an die inhaltliche Ausgestaltung der Preisangaben weitgehend der allgemeinen Verkehrsauffassung (§ 1 Abs. 1, 2 und 6). Die allgemeine Verkehrsauffassung ist insbesondere dafür maßgebend, ob bei Waren die erforderliche Preisangabe auf Stück, Gewicht oder Volumen zu beziehen und welche Einheit dabei zu verwenden ist. Für Lebensmittel ist die allgemeine Verkehrsauffassung bis auf wenige Ausnahmen fest umrissen, aber von Artikel zu Artikel sehr unterschiedlich. Um hier Nachforschungen in jedem Einzelfall möglichst überflüssig zu machen, wurde die zugrunde zu legende verkehrsübliche Verkaufseinheit unter Beteiligung der berührten Verbände des Handels, Gewerbes und der Verbraucher auf Landesebene ermittelt und festgehalten. Aufbauend auf den früher schon getroffenen Feststellungen ergaben sich in Brandenburg unter Zugrundelegung der augenblicklich allgemeinen Verkehrsauffassung zuletzt folgende verkehrsübliche Verkaufseinheiten für lose Lebensmittel:
1. Obst und Gemüse
| Sorte | Verkaufseinheit |
|---|---|
| Ananas | 1 Stück |
| Äpfel | 1 kg |
| Apfelsinen bei kalibrierter Ware der Klasse Extra, I und II auch 1 Stück* |
1 kg 1 Stück |
| Aprikosen | 1 kg |
| Artischocken | 1 Stück |
| Auberginen | 1 kg |
| Avocados | 1 Stück |
| Bananen | 1 kg |
| Birnen | 1 kg |
| Bleichsellerie | 1 Stück oder 1 kg |
| Blumenkohl | 1 Stück |
| Bohnen | 1 kg |
| Broccoli | 1 kg |
| Brombeeren | 1 kg |
| Catalognia | 1 kg |
| Chicorée | 100 g |
| Chinakohl | 1 kg |
| Chirimoyas | 1 Stück |
| Cima-Rapa | 1 kg |
| Datteln | 100 g |
| Eisbergsalat | 1 Stück |
| Endiviensalat | 1 Stück |
| Erbsen (mit Hülsen) | 1 kg |
| Erdbeeren | 1 kg |
| Erdnüsse | 100 g |
| Feigen | 100 g |
| Feldsalat (Ackersalat) | 100 g |
| Fenchel | 1 kg |
| Friséesalat | 1 Stück oder 100 g |
| Granatäpfel | 1 Stück |
| Grapefruit | 1 Stück |
| Gurken Einlegware klein Einlegware groß (Gewürzgurken) Landgurken (dicke Ware) Salatgurke |
1 kg 1 kg 1 kg 1 Stück |
| Heidelbeeren | 100 g |
| Himbeeren | 100 g |
| Johannisbeeren | 1 kg |
| Kaki-Früchte | 1 Stück |
| Kartoffeln | 1 kg |
| Kirschen | 1 kg |
| Kiwis | 1 Stück |
| Knoblauch | 1 Stück oder 100 g |
| Kohl (Weiß-, Rot- und Grünkohl, Wirsing) | 1 kg |
| Kohlrabi | 1 Stück |
| Kokosnüsse | 1 Stück |
| Kopfsalat | 1 Stück |
| Kresse in Aussaatpackung |
100 g 1 Stück |
| Küchenkräuter | 1 Bund |
| Kürbisse | 1 kg |
| Lampagione | 100 g |
| Lauch | 1 kg oder 1 Stück |
| Limetten | 1 Stück |
| Mandarinenarten | 1 kg |
| Mango | 1 Stück |
| Mangold | 1 kg |
| Maronen | 1 kg |
| Meerrettich | 100 g |
| Melonen Wassermelonen Honig- und Zuckermelonen |
1 kg 1 Stück |
| Mirabellen | 1 kg |
| Möhren mit Laub |
1 kg 1 Bund |
| Nektarinen | 1 kg |
| Nespoli | 1 Stück oder 1 kg |
| Nüsse (Hasel-, Para-,Walnüsse) | 1 kg |
| Papaya | 1 Stück |
| Paprika | 1 kg |
| Passionsfrüchte | 1 Stück oder 1 kg |
| Peperoni | 100 g |
| Petersilie | 1 Bund |
| Pfirsiche | 1 kg |
| Pflaumen | 1 kg |
| Physalis | 100 g |
| Pilze | 100 g |
| Preiselbeeren | 100 g |
| Quitten | 1 kg |
| Radiccio | 100 g |
| Radieschen | 1 Bund |
| Reineclauden | 1 kg |
| Rettich | 1 Stück oder 1 Bund |
| Rhabarber | 1 kg |
| Romana | 1 kg |
| Rosenkohl | 1 kg |
| Rote Rüben frühe Rote Rüben |
1 kg 1 Bund |
| Schnittlauch | 1 Bund oder 1 Topf |
| Schwarzwurzeln | 1 kg |
| Sellerie | 1 kg oder 1 Stück |
| Spargel | 1 kg |
| Spinat | 1 kg |
| Spitzkohl | 1 kg |
| Stachelbeeren | 1 kg |
| Suppengrün | 1 Bund oder 1 Beutel |
| Tangerinen | 1 Stück oder 1 kg |
| Tomaten | 1 kg |
| Trauben | 1 kg |
| Zitronen | 1 Stück |
| Zwetschgen | 1 kg |
| Zwiebeln Schalottenzwiebeln (Frühware) |
1 kg 1 Bund |
| Zucchini | 1 kg |
| Zuckermais | 1 Stück oder 1 kg |
| Zuckerrohr | 1 Stück oder 1 kg |
Bei Verkauf auf Bahnhöfen oder an Kiosken, bei dem diese Waren zum unmittelbaren Verzehr angeboten werden, ist für einige Obstsorten (z.B. Äpfel, Apfelsinen, Bananen) der stückweise Verkauf verkehrsüblich.
2. Fleisch- und Fleischerzeugnisse
2.1 Verkaufseinheit 100 g für
- Fleischerzeugnisse
Dazu zählen:- Wurstwaren
Bei Wurst ist neben der 100 g-Angabe (insbesondere für Wurst in Ringen) auch die Verkaufseinheit 1 kg verkehrsüblich. - küchenfertige Fleischzubereitungen
Dies sind Fleischspezialitäten, die portionsgerecht angeboten werden wie z.B. Schaschlik, Fleischspieße, Bouletten, Cevapcici, gefüllte Paprikaschoten, gefüllte Zwiebeln, Kohlrouladen u.ä.
Dazu zählen auch Erzeugnisse aus zerkleinertem Fleisch, wie Fondue-Fleisch, Geschnetzeltes, Ragouts u.ä.
- Wurstwaren
- Fleisch, sofern es sich um Kurzbratstücke (z.B. Schnitzel, Kotelett, Filet, Roastbeef, Hüftsteak, Grilladen) oder Innereien handelt.
Bei Innereien ist neben der 100 g-Angabe (insbesondere für Rinderleber und Kutteln am Stück) auch die Verkaufseinheit 1 kg verkehrsüblich. - Schabefleisch und Hackepeter
- Salate, hausgemacht oder als Handelsware
2.2 Verkaufseinheit 1 kg für
- Fleisch, das üblicherweise in größeren Mengen zum Verkauf angeboten wird wie z.B. Bratenstücke, Rollbraten, Gulasch, Geflügel u.ä.
Hierzu gehören auch solche nicht aufgeschnitten abgegebene Fleischstücke (z.B. Filetbraten, Lendenbraten, Kotelett am Strang), die aufgeschnitten als Kurzbratstücke angeboten werden können. Weiter gehören hierzu auch Schweins- und Kalbshaxen.
2.3 Verkaufseinheit Stück bzw. Paar
Der Verkauf nach Stück bzw. Paar ohne Gewichtsangabe ist nur verkehrsüblich bei
- Landjägern, Peitschenstecken, Schwarzwälder Bauernbratwürsten und gleichartigen dünn kalibrierten (gereiften) Rohwürsten,
- Frankfurter Würstchen aus Frankfurt,
- Wildgeflügel (z.B. Wildenten, Schnepfen, Wildgänse, Fasanen, Rebhühner).
3. Sonstige Lebensmittel
Die allgemeine Verkehrsauffassung ist in dem "Leitfaden für die Preisauszeichnung bei unverpackten Lebensmitteln" des Hauptverbandes des deutschen Lebensmittel-Einzelhandels e. V. vom Juni 1981 auch für Brandenburg im wesentlichen zutreffend dargestellt (als Anlage 1 beigefügt).
Zu § 1 Abs. 3
Die Vorschrift läßt es zu, daß Preise für Waren und Leistungen in Gestalt von Tarifen oder Gebührenregelungen für Elektrizität, Gas, Wasser und Fernwärme, die durch Gesetz oder auf Grund eines Gesetzes festgesetzt oder durch eine Behörde genehmigt werden, die Umsatzsteuer nicht enthalten (Satz 1); das gilt entsprechend für vergleichbare Waren und Leistungen, für die eine staatliche Preisregelung fehlt (Satz 2).
Es ist aber ein Hinweis auf die Höhe der Umsatzsteuer und sonstigen Abgaben zur Zeit der Preisangabe hinzuzufügen (Satz 3); dies gilt insbesondere für die Tarifblätter.
Zu beachten ist auch die in Satz 4 vorgesehene Verpflichtung für Elektrizitäts-, Gas- und Fernwärme-Versorgungsunternehmen, Preise einschließlich Umsatzsteuer und sonstiger Preisbestandteile (Endpreise) anzugeben, wenn Preisvergleiche, Durchschnitts- oder Gesamtpreise angegeben werden oder damit geworben wird. Mit dieser Regelung soll bei diesen leitungsgebundenen Energiearten, die auf dem Wärmemarkt mit Öl und Kohle konkurrieren, ein Preisvergleich ermöglicht werden. Unter Durchschnittspreisen sind Durchschnittspreise für die jeweilige Energieart unter Einbeziehung der verschiedenen Preisbestandteile, unter Gesamtpreisen Kostenbeispiele für einen bestimmten Energiebedarf zu verstehen.
Zu § 1 Abs. 6
Sofern Waren in Mehrwegverpackungen (insbesondere in Pfandflaschen) abgegeben und mit Endpreisen (Warenpreise einschließlich Flaschenpfand) ausgezeichnet werden, ergibt sich nach der amtlichen Begründung zu § 1 Abs. 6 aus dem Gesichtspunkt der Preiswahrheit und Preisklarheit zusätzlich die Verpflichtung, bei der Endpreisabgabe in geeigneter Weise darauf hinzuweisen, daß und in welcher Höhe ein Pfand erhoben wird.
Zu § 2 Abs. 1
§ 2 Abs. 1 stellt besonders hohe Anforderungen für in Schaufenstern, Schaukästen, innerhalb oder außerhalb des Verkaufsraums auf Verkaufsständen oder in sonstiger Weise sichtbar ausgestellte Waren sowie für Selbstbedienungswaren: Hier müssen Preisschilder oder Warenbeschriftungen vorhanden sein. Preisschilder bzw. Warenbeschriftungen unterscheiden sich von den nach § 2 Abs. 2 (für sonst im Verkaufsraum zum Verkauf bereitgehaltene Waren) statthaften weiteren Arten der Preisauszeichnung dadurch, daß ein direkter Sichtbezug zwischen Waren und Preis ("mit einem Blick") erforderlich ist. Neben Einzelpreisschildern bzw. -beschriftungen auf der Ware können u. U. auch Sammelpreisschilder für mehrere Waren den Anforderungen gerecht werden; hier muß jedoch in besonderem Maße darauf geachtet werden, daß die Preisangabe dem Angebot oder der Werbung eindeutig zugeordnet, leicht erkennbar und deutlich lesbar oder sonst gut wahrnehmbar ist (§ 1 Abs. 6 Satz 2).
In Selbstbedienungsgeschäften besteht bei Einsatz der EDV zur Warenerfassung an der Kasse systembedingt in besonderem Maße die Gefahr, daß die erforderliche Preisauszeichnung überhaupt nicht oder gar mit unzutreffenden Preisen erfolgt. Hier wird an der Kasse jeweils nur eine Waren-Nummer eingegeben, wobei die Eingabe über eine maschinenlesbare, an der Ware befindliche Waren-Nummer (unter Umständen auch in verschlüsselter Form von Strichcodes o.ä.) oder durch Eintippen einer Waren-Nummer erfolgen kann. Der Preis wird dann jeweils der Ware über EDV automatisch zugeordnet. Da Preiserfassung an der Kasse und Preisauszeichnung der Ware nicht direkt gekoppelt sind, können Preisberechnung (an der Kasse) und Preisauszeichnung auseinanderlaufen.
Die Vollzugsbehörden werden auf damit zusammenhängende Zuwiderhandlungen gegen die PAngV besonders achten. Soweit Letztverbrauchern höhere als die ausgezeichneten Preise abverlangt werden, sind in aller Regel Bußgeldverfahren angezeigt.
Zu § 3
Als wesentlich sind die Leistungen anzusehen, die häufig vorkommen; nicht entscheidend ist also die Umsatzhöhe. Um Einzelfeststellungen dazu so weit wie möglich entbehrlich zu machen, sind auf Bundesebene Musterpreisverzeichnisse entwickelt worden für die Leistungen
- der Abschlepp- und Bergungsunternehmen,
- des Bekleidungshandwerks,
- der Chemisch-Reinigungsbetriebe,
- des Elektro-Reparaturhandwerks,
- des Friseurhandwerks,
- der Kosmetikunternehmen,
- des Kraftfahrzeug-Reparaturhandwerks,
- der Sanitär- und Heizungstechnik,
- des Schuhreparaturhandwerks,
- der Wäschereien,
- der Gaststätten (als Anlage 2 beigefügt).
Sofern die Preisverzeichnisse der Betriebe den Musterpreisverzeichnissen entsprechen, kann im allgemeinen davon ausgegangen werden, daß die wesentlichen Leistungen damit vollständig erfaßt sind. Nur wenn besondere Umstände auf das Gegenteil hindeuten, werden die Vollzugsbehörden Ermittlungen bezüglich der für den einzelnen Betrieb wesentlichen Leistungen anstellen.
Zu § 4
Nach der Preisangabenverordnung müssen bei Letztverbraucher-Krediten Preise angegeben werden:
- Im Kreditformular (§ 1 Abs. 1 Satz 1, erster Halbsatz) bzw. bei Mitteilung neuer Konditionen (§ 4 Abs. 6).
- Im Preisverzeichnis, soweit es sich um wesentliche Leistungen des Anbieters handelt (§ 3 Abs. 1 Satz 1). Das Preisverzeichnis ist im Geschäftslokal oder am sonstigen Ort des Leistungsangebots und, sofern vorhanden, zusätzlich im Schaufenster oder Schaukasten anzubringen (§ 3 Abs. 1 Satz 2).
Im Regelfall kann davon ausgegangen werden, daß der Angabepflicht nach § 3 Abs. 1 mit dem "Preisaushang - Regelsätze im standardisierten Privatkundengeschäft" Genüge getan wird. - In der Werbung, wenn Zinsen, Raten oder sonstige Preisbestandteile genannt werden (§ 1 Abs. 1 Satz 1, zweiter Halbsatz).
Der Preis ist nach § 4 Abs. 1
- bei "fixen" Krediten (mit über die gesamte Laufzeit festen Kreditbedingungen) als "effektiver Jahreszins" bzw.
- bei "variablen" Krediten (mit nicht über die gesamte Laufzeit festen Kreditbestimmungen) als "anfänglicher effektiver Jahreszins"
anzugeben und zu bezeichnen. Abkürzungen dieser Bezeichnungen sind nur dann zulässig, wenn sie allgemein wie die ausgeschriebenen Bezeichnungen verstanden werden (BGH, BB 1989, 105).
1. Grundsatz
Zunächst ist anhand der Kreditkonditionen zu ermitteln, wie sich das Kreditkonto entwickelt und in Form einer Staffel summen- und terminmäßig darzustellen. Die Zahlungsströme des Kredits sind auf einen Vergleichskredit zu übertragen, der jährlich (360 Zinstage nach Auszahlung) bzw. - bei Restlaufzeiten von weniger als einem Jahr - am Kreditende nachschüssig nach der jeweiligen Kredithöhe zu verzinsen ist und für den keine weiteren Kreditkosten anfallen. Effektiver Jahreszins bzw. anfänglicher effektiver Jahreszins ist der Zinssatz, mit dem der Vergleichskredit bei Zugrundelegung der Zahlungsströme des (wirklichen) Kreditkontos zu verzinsen wäre.
Beim anfänglichen effektiven Jahreszins bezieht sich diese Gegenüberstellung nur auf die anfänglich geltenden Faktoren. Der anfängliche effektive Jahreszins gibt regelmäßig die Belastung für die nach § 4 Abs. 1 Satz 2 anzugebende Verrechnungszeit an. Bestehen unterschiedliche Verrechnungszeiten, so ist entsprechend der Praxis der Kreditwirtschaft von der kürzesten Verrechnungszeit auszugehen. Das (wirkliche) Kreditkonto muß dann den Saldo zum Ende der kürzesten Verrechnungszeit ausweisen; der Saldo des Vergleichskreditkontos muß dem entsprechen. Bei der Berechnung des anfänglichen effektiven Jahreszinses ist ein Splitting in der Weise, daß für einen Teil der Einmalkosten ein längerer Verrechnungszeitraum gewählt wird, daher nur dann zulässig, wenn die anteilige Verrechnung auf den - der Angabe zugrunde zu legenden - kürzesten Verrechnungszeitraum auch im (wirklichen) Kreditkonto erscheint; dies kann z.B. dadurch geschehen, daß das (wirkliche) Kreditkonto mit Einmalkosten, die auf einen längeren Zeitraum verrechnet worden sind, nur zu dem auf den kürzesten Verrechnungszeitraum entfallenden Teil belastet wird oder daß das Konto zunächst in voller Höhe belastet wird, aber der noch nicht "verbrauchte" Teil am Ende des kürzesten Verrechnungszeitraumes dem (wirklichen) Kreditkonto wieder gutgeschrieben wird.
2. Modalitäten
In § 4 sind die wichtigsten Ermittlungsmodalitäten angesprochen. Weitere Hinweise gibt die amtliche Begründung zu § 4 in der früheren und in der jetzigen Fassung (BAnz. 1985 S. 3730 und Bundesrats-Drucksache 56/92). Zusammenfassend und ergänzend wird bemerkt:
2.1 Ausgehend von den gebräuchlicheren Konditionen sind in die Errechnung des effektiven Jahreszinses bzw. des anfänglichen effektiven Jahreszinses insbesondere einzubeziehen:
- Nominalzins,
- Zinssollstellungstermine,
- Tilgungshöhe,
- tilgungsfreie Zeiträume,
- Disagio und Agio,
- Bearbeitungsgebühr und Verwaltungsbeiträge,
- Maklerprovision und sonstige Kreditvermittlungskosten,
- Zahlungstermine entsprechend individuellem Angebot bzw. individueller Vereinbarung,
- Annuitäten-Zuschußdarlehen, sofern sie mit dem Kredit eine Einheit bilden,
- Zusatzdarlehen zur Finanzierung eines Disagios oder Agios u.ä., sofern sie mit dem Kredit eine Einheit bilden,
- von den Zahlungsterminen abweichende Tilgungsverrechnungstermine,
- Höhe der Restschuld,
- Kosten einer Restschuldversicherung (insbesondere Risikolebensversicherung), die der Kreditgeber zwingend als Bedingung für den Kredit vorschreibt, mit der Prämie, die der Kreditnehmer tatsächlich zu bezahlen hat,
- Inkassokosten; hierzu rechnen jedoch nicht die im Zahlungsverkehr üblichen Lastschriftkosten.
2.2 Ausgehend von den gebräuchlicheren Konditionen sind in die Berechnung des effektiven Jahreszinses bzw. des anfänglichen effektiven Jahreszinses insbesondere nicht einzubeziehen:
- Bereitstellungszinsen und Teilauszahlungs-Zinsaufschläge,
- Aufwendungen, die im Zusammenhang mit der Absicherung des Darlehens individuell unterschiedlich anfallen (z.B. Notariatsgebühren, Grundbuchkosten für die Bestellung von Hypotheken und Grundschulden, Schätzgebühren; letztere jedoch nur, wenn auch tatsächlich eine Schätzung vorgenommen wird und die Höhe der Gebühr marktüblich ist),
- Ansparleistungen (z.B. bei Bausparkrediten), Eigenleistungen (z.B. Anzahlungen bei Abzahlungskaufkrediten), Mitgliedschaften und ähnliche Vorleistungen des Kreditnehmers, die nur die Voraussetzung für die Kreditgewährung bilden, die Abwicklung des eigentlichen Kredits aber nicht unmittelbar beeinflussen,
- Prämien einer Kapitallebensversicherung, die der späteren Tilgung des Kredits dient.
2.3 Soweit (im Preisverzeichnis oder bei der Werbung) Kosten der Versicherung der Höhe nach noch nicht bekannt sind, sind diese auf der Grundlage von gängigen Beispielen einzurechnen. Als gängiges Beispiel in diesem Sinne wird allgemein ein 35jähriger männlicher Versicherter angesehen. Soweit diese Kosten auch zum Zeitpunkt des Darlehensangebots noch nicht bekannt sind, ist beispielhaft von den Kosten für den konkreten, als gesund unterstellten Darlehensnehmer bei einer vom Kreditgeber vermittelten Versicherung auszugehen.
2.4 Bezüglich der Angabengenauigkeit könnten Abweichungen von den üblichen Handhabungen irreführen. Deshalb gilt:
2.4.1 Der effektive Jahreszins bzw. der anfängliche effektive Jahreszins ist mindestens mit einer, höchstens mit zwei Stellen hinter dem Komma anzugeben.
Rundungen sind kaufmännisch vorzunehmen (ab 5 nach oben).
2.4.2 Werden die vom Kreditnehmer zu leistenden Zahlungsraten gerundet (z.B. auf volle DM-Beträge), so sind spürbare Auswirkungen (im Sinne von Nr. 2.4.1) auf den effektiven Jahreszins bzw. anfänglichen effektiven Jahreszins nachzuvollziehen.
Für Kredite mit stets auf den ursprünglichen Betrag bezogenen Zinsen pro Monat und monatlicher Ratenzahlung (sog. p.M.-Kredite) gilt jedoch: Mit Rücksicht auf den Gebrauch schematisierender Hilfsmittel erscheint es vertretbar, Abweichungen in begrenztem Umfang unberücksichtigt zu lassen und den effektiven Jahreszins bzw. anfänglichen effektiven Jahreszins auf der Grundlage der mathematischen Durchschnittsrate zu ermitteln, soweit folgende Ausgangsvoraussetzungen gegeben sind:
- "Ob" und "Wie" der Rundungen erfolgen in der Kreditwirtschaft im wesentlichen einheitlich, so daß aus unterschiedlichem Vorgehen bei der Rundung herrührende Irreführungen der Verbraucher beim Vergleich verschiedener Angebote nicht zu befürchten sind.
- Rundungen nach oben auf den nächsten vollen DM-Betrag werden stets bei der ersten (niedrigeren) Rate berücksichtigt, Rundungen nach unten auf den nächsten vollen DM-Betrag werden stets bei der letzten (höheren) Rate berücksichtigt.
2.4.3 Sind die Zahlungs- und Verrechnungstermine bei dem Kreditangebot kalendermäßig festgelegt (z.B. auf jeden Ersten eines Monats) und liegt der vorgesehene Auszahlungstag des Kredits nicht genau um eine Zahlungsperiode früher (z.B. zwölf Tage vor dem ersten monatlichen Zahlungstermin) und hat der Kreditgeber weiterhin die Zahlungen des Kreditnehmers so berechnet, als ob der Kredit genau eine Zahlungsperiode früher ausgezahlt worden wäre, so muß diese Abweichung bei der Berechnung des effektiven Jahreszinses bzw. des anfänglichen effektiven Jahreszinses beachtet werden. Dies gilt entsprechend für Neukonditionierungen.
Mit Rücksicht auf den Gebrauch schematisierender Hilfsmittel erscheint es jedoch vertretbar, Abweichungen in begrenztem Umfang unberücksichtigt zu lassen. Im einzelnen gelten dafür folgende Grundsätze:
- Für Kredite mit stets auf den ursprünglichen Betrag bezogenen Zinsen pro Monat und monatlicher Ratenzahlung (sog. p.M.-Kredite) gilt:
Unabhängig von dem tatsächlichen Laufzeitbeginn kann bei der Berechnung der für die Ermittlung des effektiven Jahreszinses bzw. anfänglichen effektiven Jahreszinses notwendigen Ratenhöhe und Kreditlaufzeit davon ausgegangen werden, daß die Laufzeit stets 30 Tage vor Fälligkeit der ersten Rate beginnt. Voraussetzung ist jedoch, daß dem Kreditnehmer Zinsen (berechnet auf der Grundlage des effektiven Jahreszinses bzw. anfänglichen effektiven Jahreszinses) gutgeschrieben werden, soweit zwischen Auszahlung und Fälligkeit der ersten Rate weniger als 30 Tage liegen. Liegen zwischen Auszahlung und Fälligkeit der ersten Rate mehr als 30 Tage, so ist es unschädlich, wenn dem Kreditnehmer insoweit Zinsen (berechnet auf der Grundlage des effektiven Jahreszinses bzw. anfänglichen effektiven Jahreszinses) in Rechnung gestellt werden. - Für sonstige Kredite gilt:
Unabhängig von dem tatsächlichen Laufzeitbeginn kann bei der Berechnung der für die Ermittlung des effektiven Jahreszinses bzw. anfänglichen effektiven Jahreszinses notwendigen Ratenhöhe und Kreditlaufzeit davon ausgegangen werden, daß bezüglich des Zinssollstellungstermins die Verzinsung des Kredits bei monatlicher, vierteljährlicher, halbjährlicher oder jährlicher Zinsfälligkeit zum Beginn der Abrechnungsperiode beginnt, in der der Kredit ausbezahlt oder neukonditioniert wird; wird der Kredit - insbesondere bei Baufinanzierungen - in Teilbeträgen ausbezahlt, so kommt es auf die Abrechnungsperiode der ersten Auszahlung an. Voraussetzung ist jedoch, daß die zu zahlenden Zinsen taggenau abgerechnet werden.
2.4.4 Darüber hinausgehende Angabenungenauigkeiten können nicht hingenommen werden. Insbesondere können in den gebräuchlichen Hilfsmitteln nicht berücksichtigte Modalitäten nicht bei der Ermittlung des effektiven Jahreszinses bzw. anfänglichen effektiven Jahreszinses außer acht gelassen werden; hier sind erforderlichenfalls Einzelrechnungen vorzunehmen.
2.5 Bei Krediten mit der Möglichkeit unterschiedlicher Inanspruchnahme ist von Höchst-Kreditinanspruchnahme auszugehen.
2.6 Zusammen mit dem Vomhundertsatz des Kredits zu machende Angaben:
2.6.1 "Effektiver Jahreszins" bzw. "anfänglicher effektiver Jahreszins":
§ 4 Abs. 1 Satz 1 schreibt vor, in welchen Fällen die Preisangabe unter der Bezeichnung "effektiver Jahreszins" und in welchen Fällen sie unter der Bezeichnung "anfänglicher effektiver Jahreszins" zu erfolgen hat. Es ist daher nicht statthaft, statt vom "anfänglichen effektiven Jahreszins" nur vom "effektiven Jahreszins" oder umgekehrt zu sprechen.
2.6.2 Angaben, wann preisbestimmende Faktoren geändert werden können:
Nach § 4 Abs. 1 Satz 2 ist zusammen mit dem anfänglichen effektiven Jahreszins auch anzugeben, wann preisbestimmende Faktoren geändert werden können. Dieser Angabepflicht wird auch entsprochen, wenn umgekehrt angegeben wird, wie lange der Kredit fest ist (z.B. "variabel", "zehn Jahre fest" u.ä.).
2.6.3 Angabe der Verrechnungszeit für Auszahlungsdifferenzen:
§ 4 Abs. 1 Satz 2 a.E. verlangt neben dem anfänglichen effektiven Jahreszins und der in Nummer 2.6.2 behandelten Angabe eine zusätzliche Angabe, wenn Belastungen aus einer nicht vollständigen Auszahlung des Kreditbetrages oder einem Zuschlag zum Kreditbetrag in den anfänglichen effektiven Jahreszins eingerechnet wurden. Für diesen Fall ist zusätzlich anzugeben, auf welchen Zeitraum diese Belastungen verrechnet werden.
Die Verrechnungszeit muß konkret (z.B. nach Jahren, Monaten, Tagen) ersichtlich sein. Eine Bezugnahme bei der Angabe der Verrechnungszeit auf die Laufzeit ist nur dann zulässig, wenn diese Laufzeit anderweitig konkret (z.B. nach Jahren, Monaten, Tagen) erscheint. Es genügt also nicht, wenn lediglich die Angabe "das Disagio wurde auf die Laufzeit verrechnet" oder die Angabe "zehn Jahre fest" erscheint.
2.6.4 Angabe bei Bausparkrediten:
Wenn der ermittelte effektive Jahreszins für Bausparkredite ohne Zusatz genannt würde, bestünde die Gefahr, daß Kreditnehmer die Ansparphase irrtümlich unberücksichtigt lassen.
Gestützt auf § 1 Abs. 6 Satz 1 ist deshalb nach den Grundsätzen von Preisklarheit und Preiswahrheit zu fordern, daß zusammen mit der Angabe des effektiven Jahreszinses ein klarstellender Hinweis (z.B. "ab Zuteilung") erfolgt.
3. Hilfsmittel
Der effektive Jahreszins bzw. der anfängliche effektive Jahreszins kann im Prinzip über eine staffelmäßige Darstellung unter Verwendung der vier Grundrechenarten ermittelt werden. Z.B. können die Auswirkungen der vierteljährlichen Zinssollstellung eines mit 12 % zu verzinsenden Kredits wie folgt nachvollzogen werden:
Darstellung des (wirklichen) Kreditkontos
| Datum | Buchung | Kontostand Soll |
|---|---|---|
| 01.01. | Auszahlung 100 DM | 100,00 DM |
| 31.03. | Zins 3 DM | 103,00 DM |
| 30.06. | Zins (3 % aus 103) = 3,09 DM | 106,09 DM |
| 30.09. | Zins (3 % aus 106,09) = 3,18 DM | 109,27 DM |
| 31.12. | Zins (3 % aus 109,27) = 3,28 DM | 112,55 DM |
Bei den Konditionen des Vergleichskredits entspricht dies:
| Datum | Buchung | Kontostand Soll |
|---|---|---|
| 01.01. | Auszahlung 100 DM | 100,00 DM |
| 31.12. | 112,55 DM |
Dies bedeutet, daß sich der effektive Jahreszins bzw. der anfängliche effektive Jahreszins bei vierteljährlicher Zinssollstellung von 12 % auf 12,55 % erhöht.
Bei längerfristigen Kreditverhältnissen und komplizierteren Kreditkonditionen muß allerdings in der Praxis auf Hilfsmittel (Tabellenwerke, Rechenprogramme) zurückgegriffen werden.
4. Beispiele
Im folgenden wird das Vorgehen nach den Nummern 1 und 2 an
- einem Beispiel mit nach Monaten bemessener Zinsberechnung bezogen auf den Ursprungsbetrag und monatlicher Ratenzahlung (sogenannter p.M.-Kredit),
- einem Beispiel mit nach Jahren bemessener Zinsberechnung bezogen auf den Kontostand (sogenannter p.a.-Kredit) ohne Änderungsvorbehalt,
- einem Beispiel mit nach Jahren bemessener Zinsberechnung bezogen auf den Kontostand (sogenannter p.a.-Kredit) mit Änderungsvorbehalt
dargestellt:
a)
| Kredithöhe (Auszahlungsbetrag): | 8000 DM |
| Zinssatz: 0,62 % pro Monat (bezogen auf den Ursprungsbetrag); Anlaufzinsen (Zinsen zwischen Auszahlung und Beginn von Laufzeit und Zinsberechnung) werden mit dem Effektivzinssatz berechnet und zu Beginn der Laufzeit gesondert in Rechnung gestellt. | |
| Bearbeitungsgebühr (nicht zu verzinsen):1 | 2 % des Auszahlungsbetrags |
| Laufzeit: | 30 Monate |
| Monatsrate:2 | 321,60 DM |
| Tag der Kreditauszahlung: | 17. April 1980 |
| Beginn der Laufzeit und der Zinsberechnung: | 30. April 1980 |
| Fälligkeit und Verrechnung der Raten am Monatsende, erstmals am 30. Mai 1980 | |
b)
| Kredithöhe (Rückzahlungsbetrag): | 8000 DM |
| Nominalzinssatz: | 8 % jährlich |
| (bezogen auf den Kontostand am Quartalsende) | |
| Auszahlung: | 98 % (= 2 % Disagio) |
| Laufzeit: | 10 Quartale (30 Monate) |
| Quartalsrate:3 | 890,61 DM |
| Tag der Kreditauszahlung: | 17. April 1980 |
| Fälligkeit sowie Zins- und Tilgungsverrechnung der Raten jeweils nachträglich zum Quartalsende, erstmals am 30. Juni 1980 | |
c)
| Kredithöhe (Rückzahlungsbetrag): | 8000 DM |
| Nominalzinssatz: | 8 % jährlich |
| (bezogen auf den Kontostand am Quartalsende) | |
| Auszahlung: | 98 % (= 2 % Disagio) |
| Laufzeit: | 10 Quartale (30 Monate) |
| Festschreibungszeit: | 2 Jahre (gerechnet ab 30.03.80) |
| Quartalsrate:3 | 890,61 DM |
| Tag der Kreditauszahlung: | 17. April 1980 |
| Fälligkeit sowie Zins- und Tilgungsverrechnung der Raten jeweils nachträglich zum Quartalsende, erstmals am 30. Juni 1980 | |
4.1 Darstellung des (wirklichen) Kreditkontos
Bei den Konditionen der Beispielsfälle ergeben sich folgende Staffeln:
a)
| Datum | Buchung | DM | Kontostand |
|---|---|---|---|
| 30.04.804 | Auszahlungsbetrag | 8000,00 S | |
| Laufzeit-Zinsen 0,62 x 8000 x 30 100 |
1488,00 S | ||
| Bearbeitungsgebühr 2 x 8000 100 |
160,00 S | 9648,00 S | |
| 30.05.80 | 1. Rate | 321,60 H | 9326,40 S |
| 30.06.80 | 2. Rate | 321,60 H | 9004,80 S |
| 30.07.80 | 3. Rate | 321,60 H | 8683,20 S |
| 30.08.80 | 4. Rate | 321,60 H | 8361,60 S |
| usw. | |||
| 30.09.80 | 29. Rate | 321,60 H | 321,60 S |
| 30.10.80 | 30. Rate | 321,60 H | 0,00 S |
b)
| Datum | Buchung | DM | Kontostand |
|---|---|---|---|
| 30.03.805 | Auszahlungsbetrag | 7840,00 S | |
| Disagio | 160,00 S | 8000,00 S | |
| 30.06.80 | Zinsen für 90 Tage 8 x 8000 x 90 100 x 360 |
160,00 S | |
| Rate | 890,61 H | 7269,39 S | |
| 30.09.80 | Zinsen für 90 Tage 8 x 7269,39 x 90 100 x 360 |
145,39 S | |
| Rate | 890,61 H | 6524,17 S | |
| 30.12.80 | Zinsen für 90 Tage 8 x 6524,17 x 90 100 x 360 |
130,48 S | |
| Rate | 890,61 H | 5764,04 S |
| Datum | Buchung | DM | Kontostand |
|---|---|---|---|
| 30.03.81 | Zinsen für 90 Tage 8 x 5764,04 x 90 100 x 360 |
115,28 S | |
| Rate | 890,61 H | 4988,71 S | |
| 30.06.81 | Zinsen für 90 Tage 8 x 4988,71 x 90 100 x 360 |
99,77 S | |
| Rate | 890,61 H | 4197,87 S | |
| 30.09.81 | Zinsen für 90 Tage 8 x 4197,87 x 90 100 x 360 |
83,96 S | |
| Rate | 890,61 H | 3391,22 S | |
| 30.12.81 | Zinsen für 90 Tage 8 x 3391,22 x 90 100 x 360 |
67,82 S | |
| Rate | 890,61 H | 2568,43 S | |
| 30.03.82 | Zinsen für 90 Tage 8 x 2568,43 x 90 100 x 360 |
51,37 S | |
| Rate | 890,61 H | 1729,19 S | |
| 30.06.82 | Zinsen für 90 Tage 8 x 1729,19 x 90 100 x 360 |
34,58 S | |
| Rate | 890,61 H | 873,16 S | |
| 30.09.82 | Zinsen für 90 Tage 8 x 873,16 x 90 100 x 360 |
17,46 S | |
| Rate | 890,61 H | 0,01 S |
c)
| Datum | Buchung | DM | Kontostand |
|---|---|---|---|
| 30.03.805 | Auszahlungsbetrag | 7840,00 S | |
| Disagio | 160,00 S | 8000,00 S | |
| 30.06.80 | Zinsen für 90 Tage 8 x 8000 x 90 100 x 360 |
160,00 S | |
| Rate | 890,61 H | 7269,39 S | |
| 30.09.80 | Zinsen für 90 Tage 8 x 7269,39 x 90 100 x 360 |
145,39 S | |
| Rate | 890,61 H | 6524,17 S | |
| 30.12.80 | Zinsen für 90 Tage 8 x 6524,17 x 90 100 x 360 |
130, 48 S | |
| Rate | 890,61 H | 5764,04 S | |
| 30.03.81 | Zinsen für 90 Tage 8 x 5764,04 x 90 100 x 360 |
115,28 S | |
| Rate | 890,61 H | 4988,71 S | |
| 30.06.81 | Zinsen für 90 Tage 8 x 4988,71 x 90 100 x 360 |
99,77 S | |
| Rate | 890,61 H | 4197,87 S | |
| 30.09.81 | Zinsen für 90 Tage 8 x 4197,87 x 90 100 x 360 |
83,96 S | |
| Rate | 890,61 H | 3391,22 S | |
| 30.12.81 | Zinsen für 90 Tage 8 x 3391,22 x 90 100 x 360 |
67,82 S | |
| Rate | 890,61 H | 2568,43 S | |
| 30.03.82 | Zinsen für 90 Tage 8 x 2568,43 x 90 100 x 360 |
51,37 S | |
| Rate | 890,61 H | 1729,19 S |
4.2 Ermittlung des effektiven Jahreszinses bzw. anfänglichen effektiven Jahreszinses
Die Ermittlung des effektiven Jahreszinses bzw. anfänglichen effektiven Jahreszinses erfolgt durch Eingabe der Kreditkonditionen in eine dem Vorgehen nach den Nummern 1 und 2 entsprechende, finanzmathematisch exakte und die Fallgestaltung berücksichtigende Gleichung oder darauf aufbauende Hilfsmittel (Tabellenwerke, Rechenprogramme). In den Beispielsfällen ergibt sich:
a)
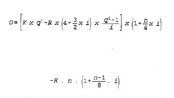
Bei Zugrundelegung der mathematischen Durchschnittsrate (Nr. 2.4.2) und des Laufzeitbeginns 30 Tage vor Fälligkeit der ersten Rate (Nr. 2.4.3 Buchst. a) kann der effektive Jahreszins folgender Gleichung entnommen werden:
e = Gesuchter Effektivzinssatz in % p.a. (= 100 x i)
i = e
100
q = 1 + i
M = Laufzeit in Monaten = Anzahl der vereinbarten Monatsraten (= 12 x J + m)
J = Laufzeit in vollen Jahren = Vorkommaanteil von M
12
m = Restliche Laufzeit in Monaten = M - 12 · J
p = Nomineller p.M.-Zinssatz in % vom ursprünglichen Kreditbetrag
b = Bearbeitungsgebühr in % vom ursprünglichen Kreditbetrag
Effektiver Jahreszins: 16,2577 %
Die Gleichung berücksichtigt nur die für den Beispielsfall erheblichen Faktoren. Zur Einbeziehung weiterer Faktoren (z.B. tilgungsfreie Zeiträume, von den Zahlungen abweichende Tilgungsverrechnungstermine) muß die Gleichung entsprechend modifiziert werden.
b)
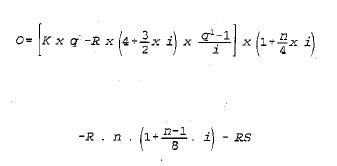
Bei Zugrundelegung des Beginns der Verzinsung zu Beginn der Abrechnungsperiode (Nr. 2.4.3 Buchst. b) kann der effektive Jahreszins für den konkreten Fall folgender Gleichung entnommen werden:
e = Gesuchter Effektivzinssatz in % p.a. (= 100 x i)
i = e
100
q = 1 + i
N = Laufzeit in Quartalen = Anzahl der vereinbarten Quartalsraten (= 4 . J + n)
J = Laufzeit in vollen Jahren = Vorkommaanteil von N
4
n = Restliche Laufzeit in Quartalen = N - 4 · J
K = Ausgezahlter Kreditbetrag
R = Quartalsrate (mathematischer Durchschnittswert)
Effektiver Jahreszins: 9,9374 %
Die Gleichung berücksichtigt nur die für den Beispielsfall erheblichen Faktoren. Zur Einbeziehung weiterer Faktoren (z.B. tilgungsfreie Zeiträume, von den Zahlungen abweichende Tilgungsverrechnungstermine) muß die Gleichung entsprechend modifiziert werden.
c)
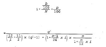
Bei Zugrundelegung des Beginns der Verzinsung zu Beginn der Abrechnungsperiode (Nr. 2.4.3 Buchst. b) kann der anfängliche effektive Jahreszins für den konkreten Fall folgender Gleichung entnommen werden:
e = Gesuchter Effektivzinssatz in % p.a. (= 100 x i)
i = e
100
q = 1 + i
N = Festschreibungszeit in Quartalen = Anzahl der vereinbarten Quartalsraten (= 4 · J + n)
J = Festschreibungszeit in vollen Jahren = Vorkommaanteil von N
4
n = Restliche Festschreibungszeit in Quartalen = N - 4 · J
K = Ausgezahlter Kreditbetrag
R = Quartalsrate (mathematischer Durchschnittswert)
RS = Restschuld am Ende der Festschreibungszeit
Anfänglicher effektiver Jahreszins: 10,0415 %
Die Gleichung berücksichtigt nur die für den Beispielsfall erheblichen Faktoren. Zur Einbeziehung weiterer Faktoren (z.B. tilgungsfreie Zeiträume, von den Zahlungen abweichende Tilgungsverrechnungstermine) muß die Gleichung entsprechend modifiziert werden.
4.3 Übertragung der Zahlungsströme auf den Vergleichskredit
Das Konto des Vergleichskredits mit jährlicher (360 Zinstage nach Auszahlung) bzw. am Kreditende nachschüssiger Zinsbelastung entwickelt sich bei dem ermittelten effektiven Jahreszins bzw. anfänglichen effektiven Jahreszins wie folgt:
a)
Nach Nummer 2.4.1 zugrunde gelegter Effektivzinssatz: 16,26 %.
Nach Nummer 2.4.3 Buchst. a zugrunde gelegter Auszahlungstag: 30. April 1980
| Kapitalkonto | DM | Zinskonto DM | |
|---|---|---|---|
| 30.04.806 | Auszahlung | 8000,00 Soll | 1300,80 (Zinsen für 360 Tage) |
| 30.05.80 | 1. Rate | 321,60 Haben | - 47,93 (Zinsen für 330 Tage) |
| 30.06.80 | 2. Rate | 321,60 Haben | - 43,58 (Zinsen für 300 Tage) |
| 30.07.80 | 3. Rate | 321,60 Haben | - 39,22 (Zinsen für 270 Tage) |
| 30.08.80 | 4. Rate | 321,60 Haben | - 34,86 (Zinsen für 240 Tage) |
| 30.09.80 | 5. Rate | 321,60 Haben | - 30,50 (Zinsen für 210 Tage) |
| 30.10.80 | 6. Rate | 321,60 Haben | - 26,15 (Zinsen für 180 Tage) |
| 30.11.80 | 7. Rate | 321,60 Haben | - 21,79 (Zinsen für 150 Tage) |
| 30.12.80 | 8. Rate | 321,60 Haben | - 17,43 (Zinsen für 120 Tage) |
| 30.01.81 | 9. Rate | 321,60 Haben | - 13,07 (Zinsen für 90 Tage) |
| 30.02.81 | 10. Rate | 321,60 Haben | - 8,72 (Zinsen für 60 Tage) |
| 30.03.81 | 11. Rate | 321,60 Haben | - 4,36 (Zinsen für 30 Tage) |
| 30.04.81 | 12. Rate | 321,60 Haben | - 0,00 (Zinsen für 0 Tage) |
| Saldo | 4140,80 Soll | 1013,19 | |
| Zinsbelastung | 1013,19 Soll | ||
| Neuer Saldo | 5153,99 Soll | 838,04 (Zinsen für 360 Tage) | |
| 30.05.81 | 13. Rate | 321,60 Haben | - 47,93 (Zinsen für 330 Tage) |
| 30.06.81 | 14. Rate | 321,60 Haben | - 43,58 (Zinsen für 300 Tage) |
| 30.07.81 | 15. Rate | 321,60 Haben | - 39,22 (Zinsen für 270 Tage) |
| 30.08.81 | 16. Rate | 321,60 Haben | - 34,86 (Zinsen für 240 Tage) |
| 30.09.81 | 17. Rate | 321,60 Haben | - 30,50 (Zinsen für 210 Tage) |
| 30.10.81 | 18. Rate | 321,60 Haben | - 26,15 (Zinsen für 180 Tage) |
| 30.11.81 | 19. Rate | 321,60 Haben | - 21,79 (Zinsen für 150 Tage) |
| 30.12.81 | 20. Rate | 321,60 Haben | - 17,43 (Zinsen für 120 Tage) |
| 30.01.82 | 21. Rate | 321,60 Haben | - 13,07 (Zinsen für 90 Tage) |
| 30.02.82 | 22. Rate | 321,60 Haben | - 8,72 (Zinsen für 60 Tage) |
| 30.03.82 | 23. Rate | 321,60 Haben | - 4,36 (Zinsen für 30 Tage) |
| 30.04.82 | 24. Rate | 321,60 Haben | - 0,00 (Zinsen für 0 Tage) |
| Saldo | 1294,79 Soll | 550,43 | |
| Zinsbelastung | 550,43 Soll | ||
| Neuer Saldo | 1845,22 Soll | 150,02 (Zinsen für 180 Tage) | |
| 30.05.82 | 25. Rate | 321,60 Haben | - 21,79 (Zinsen für 150 Tage) |
| 30.06.82 | 26. Rate | 321,60 Haben | - 17,43 (Zinsen für 120 Tage) |
| 30.07.82 | 27. Rate | 321,60 Haben | - 13,07 (Zinsen für 90 Tage) |
| 30.08.82 | 28. Rate | 321,60 Haben | - 8,72 (Zinsen für 60 Tage) |
| 30.09.82 | 29. Rate | 321,60 Haben | - 4,36 (Zinsen für 30 Tage) |
| 30.10.82 | 30. Rate | 321,60 Haben | - 0,00 (Zinsen für 0 Tage) |
| Saldo | 84,38 Haben | 84,65 | |
| Zinsbelastung | 84,65 Soll | ||
| Endsaldo | 0,27 Soll | ||
b)
Nach Nummer 2.4.1 zugrunde gelegter Effektivzinssatz: 9,94 %.
Nach Nummer 2.4.3 Buchst. b zugrunde gelegter Auszahlungstag: 30. März 1980.
| Kapitalkonto | DM | Zinskonto DM | |
|---|---|---|---|
| 30.03.807 | Auszahlung | 7840,00 Soll | 779,30 (Zinsen für 360 Tage) |
| 30.06.80 | 1. Quartalsrate | 890,61 Haben | - 66,39 (Zinsen für 270 Tage) |
| 30.09.80 | 2. Quartalsrate | 890,61 Haben | - 44,26 (Zinsen für 180 Tage) |
| 30.12.80 | 3. Quartalsrate | 890,61 Haben | - 22,13 (Zinsen für 90 Tage) |
| 30.03.81 | 4. Quartalsrate | 890,61 Haben | - 0,00 (Zinsen für 0 Tage) |
| Saldo | 4277,56 Soll | 646,52 | |
| Zinsbelastung | 646,52 | ||
| Neuer Saldo | 4924,08 Soll | 489,45 (Zinsen für 360 Tage) | |
| 30.06.81 | 5. Quartalsrate | 890,61 Haben | - 66,39 (Zinsen für 270 Tage) |
| 30.09.81 | 6. Quartalsrate | 890,61 Haben | - 44,26 (Zinsen für 180 Tage) |
| 30.12.81 | 7. Quartalsrate | 890,61 Haben | - 22,13 (Zinsen für 90 Tage) |
| 30.03.82 | 8. Quartalsrate | 890,61 Haben | -0,00 (Zinsen für 0 Tage) |
| Saldo | 1361,64 Soll | 356,67 | |
| Zinsbelastung | 356,67 | ||
| Neuer Saldo | 1718,31 Soll | 85,40 (Zinsen für 180 Tage) | |
| 30.06.82 | 9. Quartalsrate | 890,61 Haben | - 22,13 (Zinsen für 90 Tage) |
| 30.09.82 | 10. Quartalsrate | 890,61 Haben | -0,00 (Zinsen für 0 Tage) |
| Saldo | 62,91 Haben | 63,27 | |
| Zinsbelastung | 63,27 Soll | ||
| Endsaldo | 0,36 Soll |
c)
Nach Nummer 2.4.1 zugrunde gelegter anfänglicher Effektivzinssatz: 10,04 %.
Nach Nummer 2.4.3 Buchst. b zugrunde gelegter Auszahlungstag: 30. März 1980.
| Kapitalkonto | DM | Zinskonto DM | |
|---|---|---|---|
| 30.03.807 | Auszahlung | 7840,00 Soll | 787,14 (Zinsen für 360 Tage) |
| 30.06.80. | 1. Quartalsrate | 890,61 Haben | - 67,06 (Zinsen für 270 Tage) |
| 30.09.80 | 2. Quartalsrate | 890,61 Haben | - 44,71 (Zinsen für 180 Tage) |
| 30.12.80 | 3. Quartalsrate | 890,61 Haben | - 22,35 (Zinsen für 90 Tage) |
| 30.03.81 | 4. Quartalsrate | 890,61 Haben | - 0,00 (Zinsen für 0 Tage) |
| Saldo | 4277,56 Soll | 653,02 | |
| Zinsbelastung | 653,02 | ||
| Neuer Saldo | 4930,58 Soll | 495,03 (Zinsen für 360 Tage) | |
| 30.06.81 | 5. Quartalsrate | 890,61 Haben | - 67,06 (Zinsen für 270 Tage) |
| 30.09.81 | 6. Quartalsrate | 890,61 Haben | - 44,71 (Zinsen für 180 Tage) |
| 30.12.81 | 7. Quartalsrate | 890,61 Haben | - 22,35 (Zinsen für 90 Tage) |
| 30.03.82 | 8. Quartalsrate | 890,61 Haben | - 0,00 (Zinsen für 0 Tage) |
| Saldo | 1368,14 Soll | 360,91 | |
| Zinsbelastung | 360,91 | ||
| Endsaldo | 1729,05 Soll |
5. Kontrollrechnung
Ob ein angegebener effektiver Jahreszins bzw. anfänglicher effektiver Jahreszins richtig ist, kann verhältnismäßig einfach nachgeprüft werden. Denn bei der bloßen Kontrolle ist es in verhältnismäßig großem Umfang möglich, ohne Hilfsmittel (Tabellenwerk, Rechenprogramme) vorzugehen: Hierzu ist der Vergleichskredit entsprechend Nummer 4.3 darzustellen. Die aus den Konditionen zu entnehmenden Zahlungsströme des Vergleichskredits müssen bei richtigem effektivem Jahreszins bzw. anfänglichem effektivem Jahreszins am Ende des betrachtenden Zeitraums den selben Endsaldo ergeben wie das (wirkliche) Kreditkonto. Geringe Differenzen können sich durch Rundungen und durch Ungenauigkeiten (vgl. Nr. 2.4) ergeben. In den Beispielsfällen ist die Differenz auf die Rundungen des Effektivzinssatzes bzw. anfänglichen Effektivzinssatzes nach Nummer 2.4.1 zurückzuführen.
6. Übergangsregelung für Neukonditionierungen nach § 4 Abs. 6
6.1 Im Hinblick auf die bestehenden technischen Schwierigkeiten werden die Behörden bis 1. Juli 1993 nicht einschreiten, wenn der effektive Jahreszins bzw. anfängliche effektive Jahreszins nicht angegeben ist.
6.2 Im Hinblick auf die bestehenden Lücken in der Datenerfassung der Kreditinstitute werden die Behörden bis 31. Dezember 1995 nicht einschreiten, wenn bei den zwischen 1. September 1985 und 31. Dezember 1992 ausgereichten jederzeit variablen Krediten (sog. vollvariable Kredite) der effektive Jahreszins bzw. anfängliche effektive Jahreszins ohne Einrechnung etwaiger früher vereinbarter und noch nicht "verbrauchter" sog. Einmalkosten (insbesondere Disagio und Bearbeitungsgebühr) ermittelt werden. Dies gilt nur, wenn bei der Bekanntgabe des effektiven Jahreszinses bzw. anfänglichen effektiven Jahreszinses darauf hingewiesen und angeboten wird, auf Wunsch den tatsächlichen effektiven Jahreszins bzw. anfänglichen effektiven Jahreszins mitzuteilen.
Das Muster "Preisaushang Regelsätze im standardisierten Privatkundengeschäft" wird z.Zt. überarbeitet und zu gegebener Zeit veröffentlicht.
Zu § 5
Für den Außenaushang der wesentlichsten Getränke sind auf Bundesebene ebenfalls Musterpreisverzeichnisse entwickelt worden, wobei die Ausführungen über die Musterpreisverzeichnisse zu § 3 entsprechend gelten.
Die in den Preisverzeichnissen (außen und innen) bei den einzelnen Getränkearten neben dem Preis erforderlichen Angaben sind der nach § 1 Abs. 6 Satz 1 zugrunde zu legenden allgemeinen Verkehrsauffassung entsprechend unterschiedlich.
Zu § 7 Abs. 1 Nr. 1
Dieser Ausnahmeregelung liegt der Gedanke zugrunde, daß Letztverbraucher, die die Ware oder Leistung in ihrer selbständigen beruflichen oder gewerblichen oder ihrer behördlichen oder dienstlichen Tätigkeit verwenden, im Gegensatz zu privaten Letztverbrauchern nicht durch Preisangabepflichten geschützt werden müssen. Daraus folgt, daß Handel und Dienstleistungsgewerbe allerdings dann zur Endpreisangabe verpflichtet sind, wenn sie ihre Angebote auch an private Letztverbraucher richten. Bei der Werbung unter Angabe von Preisen ist nach der Rechtsprechung das gesamte Angebot zu würdigen. Dabei ist davon auszugehen, daß im allgemeinen um so eher eine Werbung gegenüber den in § 7 Abs. 1 Nr. 1 genannten Letztverbrauchern vorliegen wird, je spezieller das Sortiment und der angesprochene Adressatenkreis gewählt ist, und daß umgekehrt ein sehr weiter Adressatenkreis und ein warenhausartiges Sortiment typischer Verbrauchsartikel gegen eine Werbung im Sinne des § 7 Abs. 1 Nr. 1 mit der Folge einer Endpreisauszeichnung sprechen.
Der Großhandel ist nur dann von allen für den Einzelhandel geltenden Preisangabevorschriften befreit, wenn die beiden folgenden gleichzeitig zu erfüllenden Voraussetzungen gegeben sind:
Der Handelsbetrieb muß
- sicherstellen, daß ausschließlich die in § 7 Abs. 1 Nr. 1 genannten Verbraucher Zutritt haben und
- durch geeignete Maßnahmen dafür Sorge tragen, daß diese Personen nur die in ihrer jeweiligen Tätigkeit verwendbaren Waren kaufen.
Der Handelsbetrieb kann aber auch freiwillig zu der für den Einzelhandel vorgeschriebenen Endpreisauszeichnung (§ 1 Abs. 1, § 2) übergehen.
Bei einer doppelten Preisauszeichnung (mit und ohne Umsatzsteuer) ist der Endpreis hervorzuheben (§ 1 Abs. 6 Satz 3).
Für den Vollzug vor Ort gilt folgendes:
- Hat sich der Handelsbetrieb für eine Endpreisauszeichnung entschieden, so prüfen die Vollzugsbehörden die Ordnungsmäßigkeit dieser Preisauszeichnung (insbesondere § 1 Abs. 6, § 2). Eine Prüfung der Voraussetzungen des § 7 Abs. 1 Nr. 1 Halbsatz 2 entfällt.
- Beruft sich der Handelsbetrieb auf die Nichtanwendbarkeit der PAngV, so obliegt den Vollzugsbehörden die Prüfung, ob durch die von dem Betrieb nachweislich ergriffenen Maßnahmen die Voraussetzungen nach § 7 Abs. 1 Nr. 1 überhaupt erfüllt werden können (Systemprüfung).
An die Maßnahmen zur Kontrolle der Zugangsberechtigung sind gemäß dem strengen Gebot des Verordnungsgebers entsprechend hohe Anforderungen zu stellen, d. h. durch die Art der Maßnahmen muß sichergestellt sein, daß nicht berechtigten Personen ausnahmslos der Zutritt zur Einkaufszone eines Betriebes verwehrt wird.
Ferner ist es Aufgabe der Behörden, darauf zu achten, daß Kontrollmaßnahmen auch tatsächlich getroffen werden und diese ihrer Art nach geeignet sind, zutrittsberechtigte Personen am Einkauf von Waren zu hindern, die in ihrer jeweiligen beruflichen, gewerblichen, behördlichen oder dienstlichen Tätigkeit nicht verwendbar sind.
Als mögliche Kontrollmaßnahmen der Handelsbetriebe können z.B. in Betracht kommen:
- Ausstellung von Kundenausweisen nur an die in § 7 Abs. 1 Nr. 1 genannten Letztverbraucher.
- Vor Ausweisausstellung Einsicht in geeignete, aktuelle Nachweise über die Zugehörigkeit zu den obigen Berufsgruppen und die tatsächliche Ausübung der gewerblichen oder freiberuflichen Tätigkeit (z.B. Quittung der letzten Umsatzsteuervorauszahlung oder auch Inaugenscheinnahme durch einen Außendienst).
- Angemessene zeitliche Beschränkung der Geltungsdauer der Ausweise (z.B. auf höchstens zwei Jahre).
- Überprüfung der Kundenkartei in geeigneten Abständen, mindestens einmal pro Geschäftsjahr.
- Bildung von Abteilungen und Regelungen der Zugangsberechtigung oder Ausgliederung von Abteilungen, in denen erfahrungsgemäß für den betriebsfremden Bedarf eingekauft wird.
- Vereinbarung vertraglicher Pflichten der Kunden
- den Ausweis nicht an Dritte weiterzugeben (Ausnahme: schriftliche Vollmacht für einen bestimmten Tag), den Ausweis zurückzugeben, sobald die Voraussetzungen für den Einkauf entfallen sind,
- das Recht des Betriebes, den Ausweis im Falle eines festgestellten Mißbrauchs einzuziehen und/oder eine Vertragsstrafe auszusprechen.
- Durchführung laufender Eingangskontrollen und Prüfung der Zugangsberechtigung bei geschaffenen Abteilungen.
- Ausgangskontrollen.
Die Verwaltungsvorschrift tritt am Tage nach der Veröffentlichung in Kraft.
* Bei Abgabe in Netzen u. ä. muß die Stückzahl leicht überschaubar sein.
1 Werden anders als in dem Beispielsfall Zinsen auf die Bearbeitungsgebühr und/oder sonstige Kosten erhoben, so ist mit einem entsprechend erhöhten Kapitalbetrag (Ursprungsbetrag) zu rechnen.
2 Die Monatsraten in dem Beispielsfall leiten sich aus der mathematischen Durchschnittsrate 9648 DM : 30 = 321,60 DM ab.
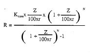
3Unter Heranziehung der genannten Modalitäten und bei gleichzeitiger Berücksichtigung der im deutschen Kreditgewerbe üblichen nominellen Zinsrechnungsmethoden (360 Zinstage p. a., während der Zinsabrechnungsperiode lineare Zinsermittlung, bei jedem Zinstermin saldowirksame Kapitalisierung des Zinsbetrags auf dem Konto wird die Quartalsrate nach folgender Formel errechnet:
R = Quartalsrate
Knom = Nominaler Kreditbetrag (Rückzahlungsbetrag)
Z = Nominalzins in % p. a.
r = Anzahl der Raten pro Jahr
N = Anzahl der vereinbarten Quartalsraten
4 Als Abgeltung des Kredits zwischen Auszahlung (17.04.80) und Beginn der Laufzeit (30.04.80) hat der Kreditnehmer außerdem den Betrag von 46,97 DM
als "Anlaufzinsen" zusätzlich zu erbringen (vgl. Nr. 2.4.3 Buchst. a).
5 Zur Bereinigung für die Zeit zwischen Beginn der Laufzeit (30.03.80) und Auszahlung (17.04.80) erhält der Kreditnehmer außerdem den Betrag von 30,22 DM
zusätzlich gutgeschrieben (vgl. Nr. 2.4.3 Buchst. b).
6 Bezüglich der Abgeltung des Kredits zwischen Auszahlung (17.04.80) und Beginn der Laufzeit (30.04.80) ist in jedem Fall die Übereinstimmung zwischen (wirklichem) Kreditkonto und Vergleichskredit gegeben, weil die "Anlaufzinsen" auf der Basis des effektiven Jahreszinses berechnet werden (vgl. Nr. 2.4.3 Buchst. a).
7 Bezüglich der Bereinigung für die Zeit zwischen Beginn der Laufzeit (30.03.80) und Auszahlung (17.04.80) ist in jedem Fall die Übereinstimmung zwischen (wirklichem) Kreditkonto und Vergleichskredit gegeben, weil die Abweichungen in den Konditionen vernachlässigbar gering sind.
Anmerkung: Die Anlagen wurden nicht aufgenommen.